涤纶是合成纤维中的一个重要品种,是我国聚酯纤维的商品名称。
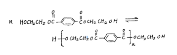
是以精对苯二甲酸(PTA)或对苯二甲酸二甲酯 (DMT)和乙二醇(MEG)为原料经酯化或酯交换和缩聚反应而制得的成纤高聚物--聚对苯二甲酸乙二醇酯(PET),经纺丝和后处理制成的纤维。分子结构式,如图所示:

从涤纶分子组成来看,它是由短脂肪烃链、酯基、苯环、端醇羟基所构成。涤纶子中除存在两个端醇羟基外,并无其它极性基团,因而涤纶纤维亲水性极差。涤纶分子中约含有46%酯基,酯基在200℃以上时能发生水解、热裂解,遇强碱则皂解,使聚合度降低,100℃以下普通用量的洗涤剂洗衣粉对涤纶无任何影响。
涤纶的特点:强度高、弹性好、耐热性、绝热性、耐磨性、耐腐蚀性都是比较好的,然而染色性和吸湿性都是比较差的,但色牢度好,不易褪色。
涤纶分子链上因无特定的染色基团,而且极性较小,所以染色较为困难,易染性较差,染料分子不易进入纤维;穿着有闷热感,同时易带静电、沾污灰尘,影响美观和舒适性。不过洗后极易干燥,且湿强几乎不下降,不变形,有良好的洗可穿性能。
涤纶纤维面料的种类较多,除织制纯涤纶织品外,还有许多和各种纺织纤维混纺或交织的产品,弥补了纯涤纶织物的不足,发挥出更好的服用性能。涤纶织物正向着仿毛、仿丝、仿麻、仿鹿皮等合成纤维天然化的方向发展。
涤棉混纺的优越性
涤棉混纺织物与纯棉织物的对比效果:强伸度(涤棉混纺>纯棉);耐磨性(涤棉混纺>纯棉);起毛起球性(涤棉混纺<纯棉),涤棉混纺织物容易起球,主要是因为棉织物纤维强度低、耐磨性差,织物表面形成的毛球或球粒很快被磨掉;而化学纤维及其混纺织物由于纤维间抱合力小、纤维强力高、伸长能力好,特别是耐弯曲疲劳、耐扭转疲劳与耐磨性好,故纤维容易滑出织物表面,一旦在表面形成小球后又不容易很快脱落;抗折皱性(涤棉混纺>纯棉);透湿性(涤棉混纺<纯棉);透气性(涤棉混纺>纯棉)。
涤棉”和“棉涤”,两个字的顺序一换就成了两种不同的面料。
「涤棉」(TC)面料是指涤纶的成分占50%以上,棉的成份在50%以下。
优点:光泽比纯棉布亮,手感爽滑、挺括,不容易起皱,而且涤的成分越高面料越不容易起皱。
缺点:亲肤性不如全面,穿着没有全面面料舒适。
「棉涤」(CVC)正好相反,是指棉的成分在50%以上,涤纶的成分在50%以下,也称为CVC品种。
优点:光泽比纯棉布稍亮些,布面平整,洁净无纱头或杂质。手感爽滑、挺括,比全棉布抗皱。
缺点:亲肤性不如全面,穿着没有全面面料舒适。
涤亚麻混纺的优越性
过去亚麻纺织品纺纱线密度高,仅能织制中、低档产品,只适合做外衣、装饰布等,体现不出亚麻纺织品特有的吸湿、放湿性好,凉爽等优点。现在采用涤纶纤维与亚麻纤维混纺,生产出适合夏季内、外衣的高档亚麻系列混纺产品。究竟涤亚麻混纺织物有哪些特点呢?
1、触感凉爽
亚麻纤维混纺比为35%-40%,纱线外观的亚麻纤维覆盖率高,因此当人体皮肤接触涤/麻低特纱织物后,人体表面的热量会被迅速散发出去,从而使人有凉爽的感觉。
2、织物轻薄、染色鲜艳
纱较细,一般在20tex以下(50公支以上),可单独或和其他纺织纤维的纯纺或混纺纱交织成超薄型织物。该产品档次高,染色、印花鲜艳美观、华丽,织物以凉、透、薄、爽著称。
3、抗折皱性好
由于纤维特征,既可利用涤纶抗折皱性好的优点改善亚麻纤维织物易皱、染色不鲜艳的缺点,又可以利用亚麻纤维吸湿、放湿性好的优点改善涤纶织物吸湿差、穿着不舒适的缺点。
4、穿着舒适、洗涤性好
涤亚麻纱及织物混纺比例适中,织物手感柔软、易洗、易干、塑性定形好,洗涤后不变形与纯亚麻织物同样好的吸湿、放湿性、透气性,属不粘身的高档夏季用内外衣织物。
涤羊绒混纺的优越性
毛涤=45:55这个比例既可保持羊毛的优点,又能发挥涤纶的长处。几乎所有的粗、精纺毛织物都有相应的毛涤混纺品种。其中精纺毛涤薄型花呢又称凉爽呢,俗称毛的确良(注释:的确良为涤纶的俗名),是最能反映毛涤混纺特点的织物之一。
毛涤薄型花呢与全毛花呢相比,质地轻薄,折皱回复性好,坚牢耐磨易洗快干,褶裥持久,尺寸稳定,不易虫蛀,但手感不及全毛柔软。如用有光涤纶作原料参与混纺,呢面有丝样光泽,若在混纺原料中使用羊绒或驼绒等物种动物毛,则手感较滑嫩。
洗涤说明:先用冷水浸泡15分钟,然后用一般合成洗涤剂洗涤,洗液温度不宜超过摄氏45度,领口、袖口较脏处可用毛刷(软性)刷洗,清洗干净后,可轻拧干,置阴凉通风处晾干,不可爆晒,不宜烘干,以免因熟生皱。
TR面料的优越性
涤粘混纺是一种互补性强的混纺。涤粘不仅有棉型、毛型,还有中长型。毛型织物俗称“快巴”。当涤纶不低于50%时,这种混纺织物能保持涤纶的坚牢、抗皱、尺寸稳定,可洗可穿性强的特点。粘胶纤维的混入,改善了织物的透气性,提高了抗熔孔性;降低了织物的起毛起球性和抗静电现象。
涤/粘混纺比多采用65/35或67/33,这类混纺织物的特点是织物平整光洁、色彩鲜艳、毛型感强,手感弹性好,吸湿性好;但免烫性较差。
TR面料的优点
1、强度高,短纤维强度为2.6~5.7Cn/dtex,高强力纤维为5.6~8.0Cn/dtex.由于吸湿性较低,它的湿态强度与干态强度基本相同,耐冲击强度比锦纶高4倍,比粘胶纤维高20倍。
2、弹性好,弹性接近羊毛,当伸长5%~6%时,几乎可以完全恢复,耐皱性超过其他纤维,即织物不折皱,尺寸稳定性好,弹性模数为22~141cN/dtex,比锦纶高2~3倍。
3、吸水性好。
4、耐磨性好,耐磨性仅次于耐磨性最好的锦纶,比其他天然纤维和合成纤维都好。
5、耐光性好,耐光性仅次于腈纶。
6、耐腐蚀,可耐漂白剂,氧化剂,泾类,酮类,石油产品及无机酸,耐稀碱不怕霉,但热碱可使其分解。
混纺织物的优点就是通过两种或两种以上不同种类纤维的有机结合,取长补短,优势共存,满足人们对衣着的不同要求。混纺织物会结合两种或两种以上原料的优点,相互弥补,来达到织物更好的性能及舒适性,也会大大降低产品的成本。通过对涤纶及涤纶混纺织物的介绍,想必大家进一步了解了涤纶,认识了涤纶。
(本网尊重各兄弟网站及独立撰稿人之版权,如发现本网刊登您的稿件而未署名,请联系我们.同时本网也欢迎对市场具有敏锐判断和独立见解的行业人士前来投稿,投稿邮箱info@168tex.com
电话:0512-63082910)